Contact person: Slavko Bernik, e-mail: slavko.bernik@ijs.si
Contact person: Slavko Bernik, e-mail: slavko.bernik@ijs.si
As non-toxic and low-cost n-type semiconducting oxide with direct wide band bandgap of 3.4 eV and high energy absorption capability, ZnO is already widely used in overvoltage protection, while it also has also great potential for piezoelectric, pyroelectric, thermoelectric, optical, luminiscence and photocatalytic applications. High amenability for doping is additional advatnage of ZnO for the use in these technological applications, enabling fine tuning of the physical properties of ZnO-based ceramics in accordance to the required characteristics.
Our research focuses on the core principles of solid state physics and chemistry to develop ZnO-based ceramics and thick-film structures with improved properties for use in overvoltage protection and thermoelectric technologies.
In ZnO-based ceramics for both areas of application, varistors and thermoelectrics, the same dopants can be used to affect microstructure development, point and planar defects in the grains, electronic states in grains and at the grain boundaries, charge carrier concentration and mobility, and transport of charge and heat, thus tailoring their characteristics.
ZnO-based varistor ceramics for overvoltage protection – Exceptional current-voltage (I-U) nonlinearity of the ZnO-based varistor ceramics results from the electrostatic double Schottky barriers at the grain boundaries and their formation is primarily attributed to the so-called varistor formers like oxides of Bi, Pr and V. However, for high I-U nonlinearity, other dopants like oxides of Sb, Ti, Sn, Co, Mn, Ni, Cr and Al have to be added to ZnO; they affect electronic states at the grain boundaries, and at the same time, some of them (oxides of Co, Mn, Ni) also incorporate into the ZnO grains as donors and increase their conductivity. Dopants like Sb, Ti and Sn also result in the formation of planar defects in ZnO grains, so-called IBs, and our previous research showed that IBs have a key influence on the ZnO grain growth and, thus, a breakdown voltage of varistor ceramics. Such compositions with numerous dopants added to ZnO in total amount of 7 to 12 wt.% result in complex microstructure of ceramics with several types of secondary phases at the grain boundaries of ZnO, thus reducing effective electrical contact among them.
Our research aims to understand the complex interplay of dopants on the electronic states in grains and at the grain boundaries, as well as on grain growth and microstructure development. This is a key to optimising the composition electrical and energy characteristics of the ZnO-based varistor ceramics, possibly at a much lower addition of dopants to ZnO (i.e., 3 to 5 wt.% total) to minimise or eliminate redundant secondary phases.
Our research, conducted in collaboration with the Shanghai Institute of Ceramics, Chinese Academy of Science—SICCAS, on the influence of selected dopants and process parameters on the formation of electrostatic Schottky barriers at grain boundaries and on the electrical/thermoelectric characteristics of ZnO ceramics, resulted in the discovery of a novel type of ZnO-Cr2O3-based varistor ceramics. The study was published in ACS Applied Materials & Interfaces (https://doi.org/10.1021/acsami.1c07735). Compared to the currently known standard varistor ceramics based on ZnO, these novel varistor ceramics do not contain volatile (Bi2O3), expensive (Pr6O11) and toxic (V2O5) dopants, have a simple and significantly cheaper chemical composition with less than 5 wt% of dopants and is practically single-phase. In the ZnO-Cr2O3-based varistor ceramic, the formation of electrostatic Schottky barriers is induced by the addition of Cr2O3, while the addition of small amounts of Ca, Co and Sb oxides further improves the I-U nonlinearity.
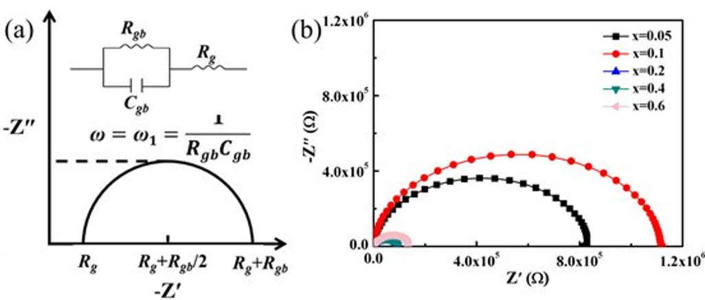
The optimal amount of added Cr2O3 was determined to be about 0.1 mol.% as published in the journal Materials Research Bulletin (https://doi.org/10.1016/j.materresbull.2022.112111), while for larger additions, the secondary Ca3(CrO4)2 phase starts to form, which leads to a decreased barrier height and degradation of the nonlinear I-U characteristics. The addition of CaO has a positive effect on the height of the electrostatic Schottky barriers and the nonlinear I-U characteristics within the limits of solid solubility in ZnO, which is about 2 mol.%. In regard to the Co3O4-doping, the best characteristics were obtained at the addition of 0.5 mol.% Co3O4 while at higher additions, the excess Co3+ ions enter the grain boundaries as donors, increasing the carrier concentration in the grain boundary region and consequently decreasing the height of electrostatic barriers and the nonlinearity of the ZnO-Cr2O3-based varistor ceramics as published in the journal Materials Science in Semiconductor Processing (https://doi.org/10.1016/j.mssp.2023.107570). In the field of varistor ceramics and surge protection, we collaborated with the companies Bourns and Raycap in the development of varistors for various fields of application and the optimisation of their production.
The recent start of collaboration in the field of atomistic study of inversion boundaries in ZnO with Materials Center in Leoben (MCL), Austria, has evolved in a new postdoctoral Research project ARIS Z2-50056, called »Stability and formation of inversion boundaries in ZnO: DFT and experimental screening for new IB–forming dopants«. The collaborating scientists are developing a new theoretical approach for ab–-initio calculation of the stability of chemically-induced domain walls in diverse electronic and functional materials across different chemistries, which has not yet been attempted before for interfaces. The research within this project is focused on the spontaneous formation of inversion boundaries (IBs) that appear to be triggered by the addition of specific transition metal dopants. The research involves theoretical investigation of atomistic–scale mechanisms that lead to the formation of IBs, whereas experimental studies (diverse synthesis methods, electron microscopy and atomistic modelling) are directed to the confirmation of identified formation mechanisms. Dopants that were predicted to spontaneously form IBs in ZnO are currently experimentally tested.
ZnO-based thermoelectric ceramics – Enhancing the thermoelectric characteristics of the ZnO ceramics expressed by the figure of merit (ZT = sS2T/k), primarily demands a significant increase in electrical conductivity (s) while preserving a very high Seebeck coefficient of (S) -400mV/K (S) and drastic decrease of much too high thermal conductivity (k), due to simple crystal structure composed of light elements.
The aim of this research is to understand the influence of donor dopants (M3+) on charge carrier concentration and mobility and the interfaces, such as grain boundaries (GBs) and specific inversion boundaries (IBs) in grains, on charge and heat transport. Especial attention is given to the role of multiple IBs, which are induced by dopants such as In3+ and Ga3+ and act as an energy filter where phonon and electron pathways split.
Electrons along the planar defect, which is limited in width to one layer of atoms and practically infinite in the other two dimensions, switch to a ballistic transport mode (sb). At the same time, 2D structural and chemical anisotropy of IBs induces scattering of phonons transversely crossing the planar defect, which lowers the thermal conductivity of ZnO ceramics. The research is carried out in collaboration with the Shanghai Institute of Ceramics, Chinese Academy of Science (SICCAS), CRISMAT Laboratory (Caen, France) and the National Institute for Materials Science (NIMS, Tsukuba, Japan).
Some of the key problems for the significant increase in the electrical conductivity of ZnO are related to very limited solid solubility of donor dopants (i.e. Al3+) in ZnO and the formation of electrostatic Schottky barriers at the grain boundaries due to intrinsic acceptor states, i. e. Oxygen interstitials (Oi), and Zinc vacancies (VZn). Our results showed that sintering in a reductive atmosphere mostly prevents the formation of Schottky barriers at grain boundaries and simultaneously greatly increases the solid solubility of Al in ZnO, resulting in an increase in the electrical conductivity of ZnO ceramics by several orders of magnitude while thermal conductivity decrease due to the high concentration of point defects in ZnO grains. At the same time, the question of the stability of such thermoelectric ceramics under oxidative operating conditions is raised. Further studies showed that subsequent prolonged annealing in air at temperatures up to 1000°C does not affect the enhanced solid solubility of the donor dopants (i.e. Al) in the ceramics by sintering in a reducing atmosphere; however, it lowers the concentration of intrinsic donor defects, i.e. zinc interstitials (Zni) and Oxygen vacancies (VO), thus decreasing the concentration of charge carriers. Newertheless, the power factor, PF (PF=sS2), of air-annealed ceramics was still 8-times higher than that of ZnO ceramics prepared only by sintering in air, which provides good guidelines for the further development of thermoelectric ZnO ceramics, as published in the Journal of Materials Research and Technology (https://doi.org/10.1016/j.jmrt.2022.11.091).
Figure 15: (a) Typical equivalent circuit and ideal Nyquist plot for a ZnO-Cr2O3-based varistor ceramics (Rgb, Cgb for grain boundaries, Rg for grains). (b) Impedance diagrams measured at 200°C for ZnO–Cr2O3-based varistor ceramics with different Cr2O3 contents (x = 0.05, 0.1, 0.2, 0.4, 0.6) showing much higher resistivity of grain boundaries (Rgb) at optimal additions of Cr2O3 up to 0.1 mol.%. (https://doi.org/10.1016/j.materresbull.2022.112111)
Figure 16: Temperature dependence of (a) electrical conductivity (s), (b) the Hall measurement of charge carrier concentration (n) amd mobility (m), (c) Seebeck coefficient and (d) Power factor of the ZnO-based thermoelectric ceramics prepared by sintering in reducing atmosphere before and after annealing in air at different temperatures. (https://doi.org/10.1016/j.jmrt.2022.11.091